Skip to content
C.S.P.S
Home
Committee
Find Us
Events
Sail & Picnic
Colne Match
Colne Match Results 1971-1980
Colne Match Results 1981-1990
Colne Match Results 1991-2000
Colne Match Results 2001-2010
Colne Match Results 2011-2020
Colne Match Results 2021-2030
Smacks
For Sale
Journals
Links
Facebook
Instagram
Colne Match Results 2011-2020
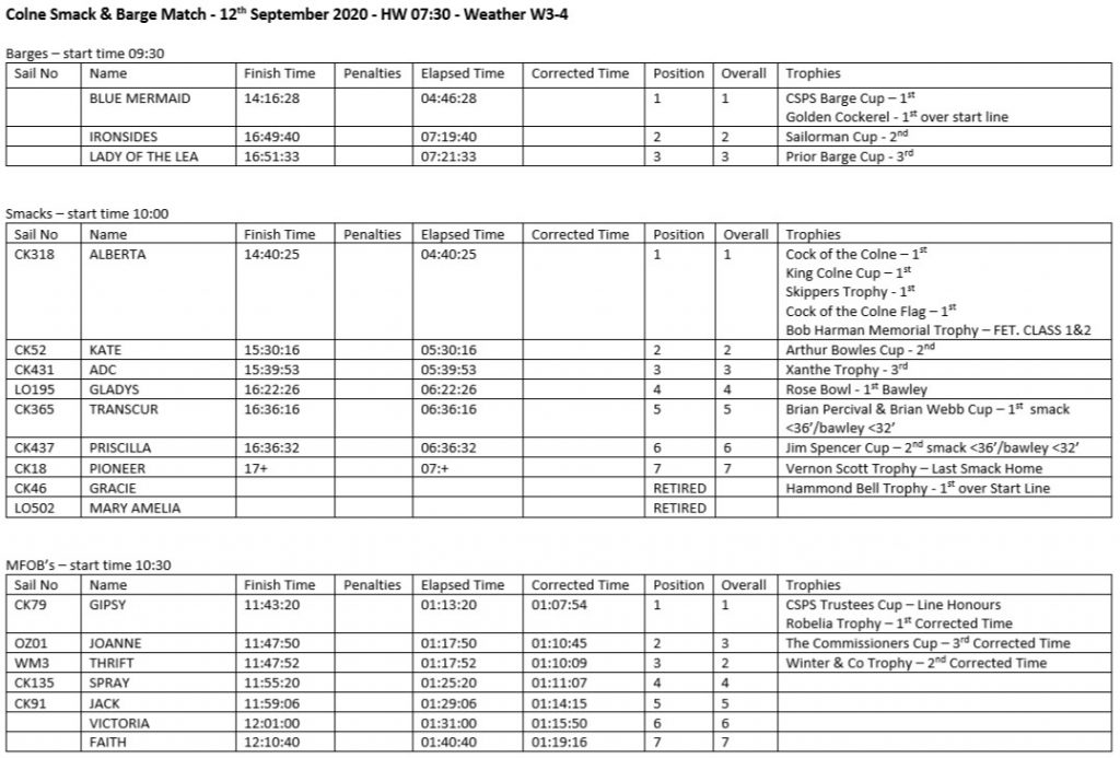
Colne Match 2020. Photo credit to Seamus Masters @glassonion68.
Copyright © 2020 CSPS